孩子能否健康成長,是每一個媽媽最為關心的事情,每一個媽媽都會為了孩子的健康成長而做出諸多努力,其中最常見、最科學,也是最為符合人體發展規律的便是“補充營養”。但是,補充營養這四個字過于廣泛、稍顯抽象,讓許多媽媽不知從何下手。實際上,只要在日常生活中保持瓜果蔬菜肉蛋奶的均衡攝入,大多數營養元素都不需要額外攝取。只有DHA和乳鐵蛋白需要額外補充。
?
DHA和乳鐵蛋白對人體有何作用?
DHA的作用
DHA,全稱為二十二碳六烯酸,是一種對人體非常重要的不飽和脂肪酸,主要通過食物補充,其作用主要包括:
促進腦細胞和神經細胞的發育:DHA是神經系統細胞生長及維持的一種主要成分,對嬰幼兒智力和視力發育至關重要。它參與腦細胞的形成和發育,可維持神經細胞的正常生理活動,促進神經細胞蛋白質合成,從而促進神經細胞的生長。
有益皮膚:DHA具有一定抗氧化作用,能夠中和自由基,抑制氧化反應和氧化損傷,對細胞和組織起到保護作用。
改善血液循環:DHA可通過抑制血小板聚集,使得血液粘度下降,從而改善血液循環。
降血脂:DHA能增加膽固醇的排泄,抑制內源性膽固醇合成,降低血清總膽固醇及低密度脂蛋白膽固醇,有助于預防心腦血管疾病。
?
乳鐵蛋白的作用
乳鐵蛋白屬于天然活性蛋白的一種,具有多種生物功能,主要包括:
增強機體抵抗力:乳鐵蛋白是動物初乳當中的天然蛋白質,人體攝入一定量的乳鐵蛋白,有助于提高自身免疫系統功能的能力,從而增強抵抗力。它還能調節體內鐵及內分泌的平衡。
調理胃腸功能:乳鐵蛋白對腸道內病原菌有一定的抑制作用,能幫助腸道內壁吸附致病菌,有效地調理胃腸功能,提高消化能力。
促進鐵質吸收:適當補充乳鐵蛋白有助于促進機體對鐵質的吸收,幫助調節機體對鐵元素的傳送和利用,可減少鐵蛋白低、缺鐵性貧血等疾病的發生。
抗菌作用:乳鐵蛋白能夠通過與微生物表面結合來抑制微生物的生長和繁殖,從而具有抗菌作用。
抗氧化作用:乳鐵蛋白還具有一定的抗氧化活性,能夠中和自由基,抑制氧化反應和氧化損傷,對細胞和組織起到保護作用。
?
為什么需要額外補充DHA和乳鐵蛋白?
嬰幼兒需要額外補充DHA的原因
1.?母乳和配方奶中含有一定的DHA,但DHA攝入量比較低,難以滿足嬰幼兒身體快速發育的需求。因此,需要通過其他方式進行額外補充。
2. 相對成人而言,嬰幼兒的食物選項相對有限,含有豐富DHA的食物并不適合嬰幼兒食用,比如蛋黃,又比如深海魚類(可能含有較高的汞等有害物質),不能頻繁食用。
嬰幼兒需要額外補充乳鐵蛋白的原因
1. 嬰幼兒的消化系統功能尚不完善,即便食用含有乳鐵蛋白的食物,也不易消化吸收,往往會事倍功半。
2. 嬰幼兒時期的飲食往往受到多種因素的影響,如喂養方式、輔食添加時間等,可能導致飲食不規律、營養素攝入不均衡,遠不如有針對性地進行補充。
?
既然明確嬰幼兒群體有必要額外補充DHA和乳鐵蛋白,那又該如何挑選呢?請看下圖。
?
根據上圖,我們可以確定幾大關鍵信息:選擇藻油DHA;補充DHA要趁早;中老年人也可補充DHA;選擇更接近母乳的DHA結構的產品;選擇大品牌和有權威認證以及自有工廠的產品。
?
光說不練,假把式!下面直接上干貨!
?
惠優喜智黃金DHA:具備DHA藻油產品(智黃金)獲獎證書、海藻多糖提取工藝獲獎證書;放射性核素檢測報告、營養標簽技術鑒定等報告確保品質可追溯,讓家長安心購買、孩子開心食用。





惠優喜智黃金DHA:事半功倍,就在專利型sn-2位DHA!
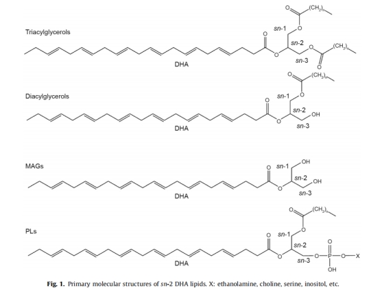
在各個時期的母乳中,DHA和ARA的存在形式含量最多的均為結合在sn-2位的甘油三酯。在人乳脂肪(HMF)的總脂肪酸中,DHA只占很小的比例(0.36%–0.70%),但是超過一半(52.63%–65.15%)被結合在sn-2位置。此外,酯化在 sn-2 位置的 DHA會優先被腸粘膜吸收,并在體內再酯化為PLs,從而會優先被轉運到大腦中,而酯化在 sn-1、3 位置的DHA在被胰脂酶水解后則優先轉運到肝臟。因此,sn-2 DHA脂質能優先促進人體大腦的發育和功能的發展,并且吸收率更高。


惠優喜智黃金DHA全新一代,品類細分,讓健康更精準!
惠優喜智黃金嬰幼兒款DHA:呵護嬰幼兒,讓喂食更簡單。采用液體劑型,降低媽媽喂食難度,讓嬰幼兒吃得更安心。
?

惠優喜智黃金孕哺女性款DHA:采用小顆粒檸檬味爆珠設計,讓孕哺期間的女性消費者也能放心食用,避免孕吐。

惠優喜智黃金兒童款DHA:采用DHA藻油+磷脂酰絲氨酸,雙重營養,讓智慧洋溢大腦。

惠優喜智黃金中老年款DHA:DHA+EPA雙管齊下,助中老年人應對健忘這類常見的亞健康問題。

惠優喜自有完整產業鏈,建有高規格生產體系,設有高標準品質要求,支持溯源,買得放心,吃得開心!


惠優喜智黃金DHA貼心設計,細節滿滿
薄皮小晶球設計,入口即化,可加在輔食中,如吃糖一般;淡淡檸檬香,能有效提升口感,避免孩子抗拒食用。

惠優喜:一個經由廣大消費者考驗17年依舊穩立潮頭的母嬰營養品牌
惠優喜所屬的富諾健康股份有限公司,2007年成立以來,以“做媽媽和孩子均衡營養的第一選擇”為企業愿景,以 “讓孕育遠離營養失衡”為企業使命。同樣,企業誕生之際,惠優喜也隨之而生,如今協同企業旗下其他品牌,基本覆蓋母嬰的營養需求,在母嬰營養、幼兒營養層面精益求精,廣而求廣。
?
以智慧充實大腦,用健康武裝身軀!兩手抓,兩手都要硬!
乳鐵蛋白挑選標準

惠優喜橙冠乳鐵蛋白調制乳粉:四重營養源,為孩子的身體提供充足能量
惠優喜橙冠乳鐵蛋白精心融合了乳鐵蛋白、免疫球蛋白、接骨木莓粉與燕窩酸四大營養精華,可直接食用,亦能以水沖服,讓孩子在享受水分滋養的同時,有效提升免疫力,為他們的健康成長保駕護航,無論是溫暖的春、炎熱的夏、涼爽的秋還是寒冷的冬,都是理想的選擇。

惠優喜橙冠乳鐵蛋白調制乳粉:獨立包裝,方便衛生;單包營養含量豐富
獨立包裝的設計不僅帶來了極大的便捷性,還確保了使用的衛生安全。每次沖泡所需的劑量清晰可見,消除統一包裝可能帶來的不衛生和受潮等煩惱;每包獨立包裝中,蘊含了豐富的營養成分,包括每100克產品中含有500毫克的乳鐵蛋白、2000毫克的免疫球蛋白(IgG)、500毫克的接骨木莓粉以及20毫克的N-乙酰神經氨酸(即燕窩酸),這些成分共同構成了全面而豐富的營養體系,讓孩子的身體健康強壯!

與惠優喜智黃金DHA一樣,惠優喜乳鐵蛋白調制乳粉也享有鏈路溯源、高品質、高產量的保障,讓寶媽為孩子放心買,孩子開心吃!
暑假悄然過半,新學期即將到來,為讓孩子能夠有優秀的腦力和健康的身體來應對新學期的學業,各位寶媽趕緊行動起來吧!惠優喜,讓各位寶媽的愛更加具體!